2192. All Ancestors of a Node in a Directed Acyclic Graph
Medium
You are given a positive integer n representing the number of nodes of a Directed Acyclic Graph (DAG). The nodes are numbered from 0 to n - 1 (inclusive).
You are also given a 2D integer array edges, where edges[i] = [fromi, toi] denotes that there is a unidirectional edge from fromi to toi in the graph.
Return a list answer, where answer[i] is the list of ancestors of the ith node, sorted in ascending order.
A node u is an ancestor of another node v if u can reach v via a set of edges.
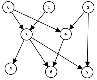
Example 1:

Example 2:

Constraints:
Solution:
class Solution {
/**
* @param Integer $n
* @param Integer[][] $edges
* @return Integer[][]
*/
function getAncestors($n, $edges) {
$adjacencyList = array_fill(0, $n, []);
foreach ($edges as $edge) {
$from = $edge[0];
$to = $edge[1];
$adjacencyList[$to][] = $from;
}
$ancestorsList = [];
for ($i = 0; $i < $n; $i++) {
$ancestors = [];
$visited = [];
$this->findChildren($i, $adjacencyList, $visited);
for ($node = 0; $node < $n; $node++) {
if ($node == $i) continue;
if (in_array($node, $visited))
$ancestors[] = $node;
}
$ancestorsList[] = $ancestors;
}
return $ancestorsList;
}
private function findChildren($currentNode, &$adjacencyList, &$visitedNodes) {
$visitedNodes[] = $currentNode;
foreach ($adjacencyList[$currentNode] as $neighbour) {
if (!in_array($neighbour, $visitedNodes)) {
$this->findChildren($neighbour, $adjacencyList, $visitedNodes);
}
}
}
}
Contact Links
The above is the detailed content of All Ancestors of a Node in a Directed Acyclic Graph. For more information, please follow other related articles on the PHP Chinese website!
How to use round function
How to solve the problem that the folder does not have security options
What are the anti-virus software?
What are the network security technologies?
How to use unlocker
Implement 301 jump method through js code
There are several ways to position CSS position
The difference between wlan and wifi